GLP-1s: The Real Tradeoffs Nobody Tells You About

We studied 500+ users. Notable side effects are activity drops, resting heart rate rises, and HRV drops well below avera...
March 12, 2026
Here you can find all articles published by the Terra Research team. All articles consist of original findings.

We studied 500+ users. Notable side effects are activity drops, resting heart rate rises, and HRV drops well below avera...
March 12, 2026

Most people take melatonin expecting to fall asleep faster or sleep longer. We analyzed over 200,000 sleep records from...
March 5, 2026

Temperature has long been the go-to for tracking the menstrual cycle with wearables, but it turns out your body offers p...
February 27, 2026

Norway claimed 41 medals at the 2026 Milano-Cortina Winter Olympics, more than any nation in a single Winter Olympic Gam...
February 23, 2026

This week's research blog dives into a data-driven model that unlocks marathon potential by explaining 79% of finish tim...
February 20, 2026

Instead of treating training like a simple “more in = faster out” equation, we tested where the curve bends using six mo...
February 12, 2026

We used a large anonymized dataset to track nights of sleep from people across hundreds of countries to understand how s...
February 11, 2026

We analyzed training data from 425 verified marathon runners to figure out what actually makes people faster. The bigges...
February 5, 2026

We analyzed ~3 million nights of wearable sleep data to see whether the menstrual cycle leaves a measurable signature in...
January 29, 2026

We analyzed sleep data from 77,000+ nights across six major wearables, then zoomed in on same-person, same-night overlap...
January 22, 2026

We analysed wearable data from over 3,000 users to measure the New Year's resolution effect on physical activity. The re...
January 15, 2026

We analyzed 8,298 sleep records from October 2025 across wearable users in North America, Europe, and beyond, linking ex...
January 6, 2026

Every January, millions pledge to sleep more along with their New Year's Resolutions. But does it work? Analyzing more t...
December 31, 2025

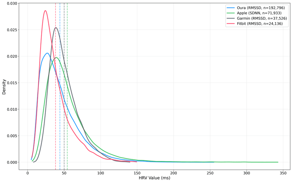
We unpack what HRV really is and how it actually works to demystify the data from Apple Watch, Fitbit, and Garmin. Some...
December 17, 2025

We analyzed 93 days of continuous sleep data across Fitbit, Apple Watch, and Garmin users to answer a simple question: w...
December 9, 2025

We analyzed sleep data from over 5,000 real-world nights across Apple Watch, Fitbit, and Garmin users. Garmin delivered...
November 28, 2025

In this report, we reveal why high-step users averaging 11,500+ daily steps succeed: consistency. Their 36% activity var...
October 23, 2025

Smart rings track five different activity metrics, but they don't always align. Drawing on nearly 28,000 days of user da...
October 9, 2025

An analysis of 1,000+ ring users examined the relationship between daily calorie expenditure and sleep metrics. Active i...
October 2, 2025

Based on an analysis of nearly 90,000 nights, the connection between sleep duration and next-morning HRV is minimal for...
September 25, 2025

Despite their perceived link, sleep and HRV are only weakly correlated. The analysis of nearly 90,000 nights showed that...
September 20, 2025

Based on an analysis of nearly 100,000 HRV records, this report reveals that most daily HRV changes are small, but large...
September 19, 2025

At Terra, we recently ran an analysis on wearable data from over a thousand users, focusing on two key metrics: sleep du...
September 18, 2025
A team of scientists, engineers, and athletes working to make sense of the world’s health data.

Alistair Brownlee is Head of Research, where he leads large-scale analysis of wearable health data to better understand sleep, recovery and human performance, translating these insights into products that help people live healthier lives.

Faraaz Akhtar is an AI & Health Researcher at Terra API, where he develops statistical and machine-learning methods to extract insights from large-scale wearable health data.

Rocio Mexia is a Biomedical Engineer and AI & Health Researcher at Terra API, where she applies machine learning to wearable and health record data to uncover insights about human health.

Halvard Ramstad is Editor-in-Chief at Terra Research, responsible for shaping how the team's findings reach the world.

Cameron Crawford is an AI Engineer at Terra API, solving the technical and product issues that arise when giving AI access to health data.
Get the latest reports and insights from Terra Research delivered to your inbox.





Cookie Preferences